Frequently made mistakes
1.1 Determine the normal force in bar and ¶
Horizontal support reactions¶


Free body diagrams¶









Missing equilibrium equations¶



Change model¶


Symmetry¶

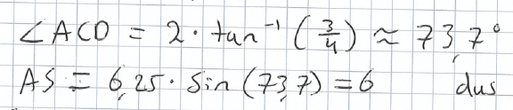
Angles¶



Moment equilibrium sloped force¶

Determine the displacement of node ¶
Area calculations¶

Missing Williot¶

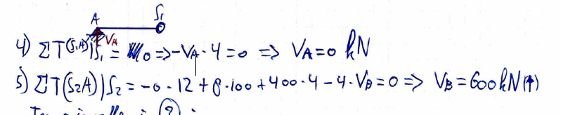
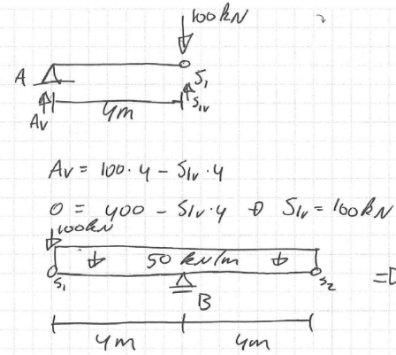
2.1 Determinate the support reaction at ¶
FBD and supports¶



No free body diagram¶



Cut bar around force/hinge and forces in hinges¶



FBD of part of structure¶






Wrong simplification¶


Starting with V-line¶


Missing equiliubrium relations¶

2.2 Determinate the bending moment in using virtual work¶
Wrong mechanism¶



Mechanism incomplete¶

Displaced mechanism is not allowed¶

No virtual work¶


2.5 Draw the bending moment diagram¶
Bending moment diagram doesn’t match loads¶


2.4 Draw the shear stress distribution just left of ¶
Wrong formula for τ¶

2.5 Determine the displacement at ¶
Forget-me-not does not apply¶
